Плиты аэродромные (ПАГ) ГОСТ 25912-2015 это сверхпрочная конструкция, предназначенная для создания устойчивых покрытий на аэродромах, автомобильных магистралях и других участках с повышенной транспортной нагрузкой. Эти плиты изготавливаются из бетона повышенной марки с армированием каркасом из стали, что позволяет конструкции выдерживать концентрированные динамические воздействия и механические нагрузки до нескольких десятков тонн. Плита ПАГ-14 является главными звеньями при создании взлетно-посадочных полос, вертолетных площадок, технических проездов и других подобных объектов.
Область применения
Основное направление применения плиты ПАГ-14 — это области с повышенной транспортной и динамической нагрузкой, что особенно нужно при создании покрытий на аэропортах, промышленных территориях и крупных логистических комплексах. Эти конструкции отлично работают на скоростных участках, платформах для обслуживания спецтехники, на территориях с повышенной проходимостью и других подобных участках. Плиты ПАГ также используют при создании сборно-монолитных оснований, позволяющих концентрировать и эффективно рассеивать нагрузки на грунты с недостаточным несущим слоем.
Преимущества плиты ПАГ-14
Неоспоримое преимущества плиты ПАГ-14 заключается в повышенной устойчивости к точечным и динамическим воздействиям, что позволяет конструкции выдерживать сверхнагрузки при проезде грузового и специализированного транспорта, при взлете и посадке самолетов и других подобных задачах. Использование бетона повышенной марки и армированного каркаса обеспечивают устойчивость конструкции к растрескиванию, износу и деформациям даже при резких температурных колебаниях и других природно-климатических явлениях. Рифление на верхней стороне препятствует образованию льда и повышает уровень безопасности на покрытии.
Контроль качества
На всех стадиях производства плиты ПАГ-14 проходит тщательный контроль качества. Используются стандарты ГОСТ и технические условия на сверхнагружаемые конструкции из сборного бетона. В ходе контроля тщательно проверяются точные размеры, качество бетона и армирования, устойчивость конструкции к концентрированным и динамическим воздействиям. Эти меры обеспечивают точное соответствие всех характеристик заявленным нормам и подтверждает качество и надежность конструкции на весь срок эксплуатации.
Где купить плиту ПАГ-14 с доставкой
Когда нужно приобрести сверхпрочное основание для аэропортов, промышленной территории или других подобных задач, выбирайте Блок-ЖБИ — главного поставщика сборных конструкций из бетона. Мы владеем собственными производственными линиями и парком специализированной техники для точной и скорейшей доставки на любой объект. Сообщите специалисту размеры и количество необходимых плит ПАГ-14, и всё остальное возьмём на себя. Купите плиты ПАГ-14 напрямую у производителя и будьте уверены в точности, устойчивости и легкости эксплуатации конструкции на всех стадиях!
Смотрите также:
| Варианты написания товара |
|---|
| Плита аэродромная ПАГ-14 |
| Плита ПАГ-14 |
| ПАГ-14 плита |
| Плита аэродромная ПАГ14 |
| ПАГ14 плита |
| ПАГ-14 |
| ПАГ14 |
| Плита аэродромная ПАГ-14 ГОСТ 25912-2015 |
| ПАГ-14 ГОСТ 25912-2015 |
| ПАГ14 ГОСТ 25912-2015 |
|
ГОСТ/Серия
|
ГОСТ 25912-2015 |
|
Длина, мм
|
6000 |
|
Ширина, мм
|
2000 |
|
Высота, мм
|
140 |
|
Масса, тонн
|
4.2 |
|
Объем бетона, куб.м
|
1.68 |
|
Класс бетона
|
В25 |
|
Геометрический объем, м.куб
|
1.68 |
|
Сталь, кг
|
146 |
|
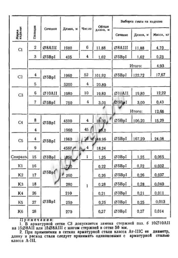
Закладная 1
|
Сетка С1 |
|
Закладная 2
|
Сетка С2 |
|
Закладная 3
|
Монтажно-стыковые изделия М1 |
|
Закладная 4
|
Монтажно-стыковые изделия М2 |
Как купить
Процесс покупки железобетонных изделий у нас прост и удобен. Следуйте этим шагам:
- Выбор продукции: Ознакомьтесь с нашим ассортиментом и выберите необходимые железобетонные изделия.
- Консультация: Свяжитесь с нашим менеджером для получения консультации по выбору продукции и уточнения всех деталей. Вы можете позвонить нам или написать на электронную почту.
- Оформление заказа: После согласования всех деталей оформите заказ. Менеджер поможет вам заполнить все необходимые документы.
- Согласование доставки: После оформления заказа наш менеджер свяжется с вами для согласования условий и сроков доставки.
- Оплата: Выберите удобный способ оплаты. Мы предлагаем несколько вариантов, включая безналичный расчет.
- Получение товара: После выполнения всех условий заказа, вы получите железобетонные изделия в назначенное время и по согласованному адресу. При получении подпишите акт приема-передачи.
Если у вас возникли вопросы на любом этапе покупки, не стесняйтесь обращаться к нашим менеджерам!
Оплата
Мы принимаем только безналичные платежи и работаем исключительно с юридическими лицами. Пожалуйста, ознакомьтесь с условиями оплаты ниже:
- Способ оплаты: Все расчеты производятся безналичным путем. Мы не принимаем наличные.
- Счет на оплату: После оформления заказа вам будет выставлен счет, который необходимо оплатить в срок, указанный в документе.
- Реквизиты: Все необходимые банковские реквизиты будут предоставлены в счете. Убедитесь, что все данные указаны правильно для успешного перевода.
- Подтверждение оплаты: После осуществления платежа отправьте нам подтверждение, чтобы мы могли оперативно обработать ваш заказ.
- Получение документов: После полной оплаты вы получите все необходимые документы, включая акт выполненных работ, товарные накладные и сертификаты на продукцию.
Мы работаем с НДС и предоставляем все необходимые сертификаты и документы. Все гарантии будут прописаны в договоре, что обеспечивает прозрачность и надежность сотрудничества.
Если у вас есть вопросы по поводу процесса оплаты, не стесняйтесь обращаться к нашим менеджерам за помощью!
Наша оперативность — ваше удобство. Мы гарантируем своевременную доставку железобетонных изделий, что является ключевым фактором для успешной реализации ваших строительных проектов. Доставка осуществляется прямо к вашему объекту с учетом всех стандартов качества.
Основные условия доставки:
• Выбор тарифа: Вы можете выбрать способ расчета стоимости доставки — почасовой или по зонам.
• Согласование: Менеджер свяжется с вами для уточнения деталей после оформления заказа.
• Время на погрузку: Комплектация товара занимает от 1 до 3 дней в зависимости от объема.
• Акт приема-передачи: Продукция передается по акту приема-передачи.
Тарифы на доставку:
Цены варьируются в зависимости от расстояния и региона. Все тарифы включают НДС. При неблагоприятных погодных условиях возможны небольшие изменения в стоимости.
География доставки:
Мы работаем по всей территории РФ и имеем 12 офисов и производств, чтобы обеспечить удобные условия для доставки.
Для точного расчета стоимости доставки обращайтесь к нашим менеджерам!

